Hemiolia, Hemiola (1882)
Hemiolia oder Hemiola (Proportio hemiolia) nannte man in der Mensuralmusik die mehr oder weniger ausgedehnten Gruppen geschwärzter Noten, welche hier und da inmitten der allgemein seit dem 15. Jahrhundert üblichen weißen Notierung auftraten (vergleiche Mensuralnote und Color). Die geschwärzte Note gilt ein Drittel weniger als die gleichgeformte weiße, daher der Name Hemiolia (von griechisch ἡμιόλιος = anderthalbfach, lateinisch sesquialter). In besonderen Fällen verliert die Note nur ein Viertel ihres Werts.
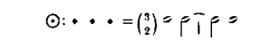
Bei versetzter Mensur entstehen durch die Hemiolia Synkopierungen, zum Beispiel in der Prolatio major [Tempuszeichen: Kreis mit Punkt]:
Bei imperfekter Mensur resultieren Triolen, zum Beispiel in der Prolatio minor [Tempuszeichen: Halbkreis]:
Die Verkürzung um ein Viertel trat ein in Fällen wie [Tempuszeichen: Kreis ohne Punkt]:
[Riemann Musik-Lexikon 1882, 384]



